Double Integrator#
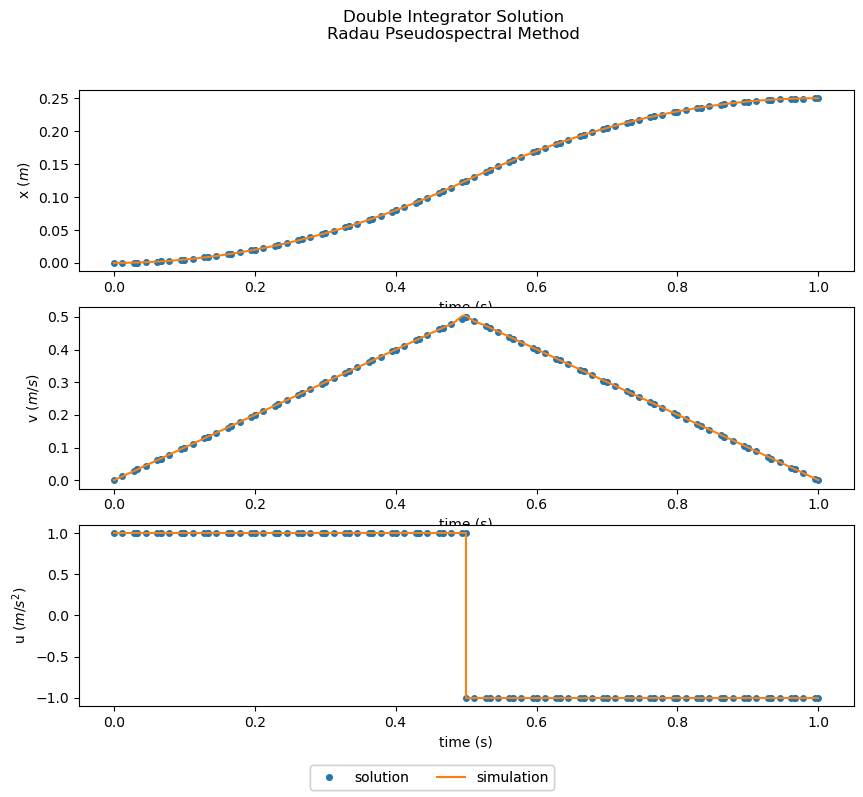
In the double integrator problem, we seek to maximize the distance traveled by a block (that starts and ends at rest) sliding without friction along a horizontal surface, with acceleration as the control.
We minimize the final time, \(t_f\), by varying the dynamic control, \(u\), subject to the dynamics:
The initial conditions are
and the final conditions are
The control \(u\) is constrained to fall between -1 and 1. Due to the fact that the control appears linearly in the equations of motion, we should expect bang-bang behavior in the control (alternation between its extreme values).
The ODE System: double_integrator_ode.py#
This problem is unique in that we do not actually have to calculate anything in the Dymos formulation of the ODE. We create an ExplicitComponent and provide it with the num_nodes option, but it has no inputs and no outputs. The rates for the states are entirely provided by the other states and controls.
class DoubleIntegratorODE(om.ExplicitComponent):
"""
The double integrator is a special case where the state rates are all set to other states
or parameters. Since we aren't computing any other outputs, the ODE doesn't actually
need to compute anything. OpenMDAO will warn us that the component has no outputs, but
Dymos will solve the problem just fine.
Note we still have to declare the num_nodes option in initialize so that Dymos can instantiate
the ODE.
Also note that neither time, states, nor parameters have targets, since there are no inputs
in the ODE system.
"""
def initialize(self):
self.options.declare('num_nodes', types=int)
Building and running the problem#
In order to facilitate the bang-bang behavior in the control, we disable continuity and rate continuity in the control value.
import matplotlib.pyplot as plt
import openmdao.api as om
import dymos as dm
from dymos.examples.plotting import plot_results
# Initialize the problem and assign the driver
p = om.Problem(model=om.Group())
p.driver = om.pyOptSparseDriver()
p.driver.options['optimizer'] = 'SLSQP'
p.driver.declare_coloring()
# Setup the trajectory and its phase
traj = p.model.add_subsystem('traj', dm.Trajectory())
transcription = dm.Radau(num_segments=30, order=3, compressed=False)
phase = traj.add_phase('phase0',
dm.Phase(ode_class=DoubleIntegratorODE, transcription=transcription))
#
# Set the options for our variables.
#
phase.set_time_options(fix_initial=True, fix_duration=True, units='s')
phase.add_state('v', fix_initial=True, fix_final=True, rate_source='u', units='m/s')
phase.add_state('x', fix_initial=True, rate_source='v', units='m')
phase.add_control('u', units='m/s**2', scaler=0.01, continuity=False, rate_continuity=False,
rate2_continuity=False, shape=(1, ), lower=-1.0, upper=1.0)
#
# Maximize distance travelled.
#
phase.add_objective('x', loc='final', scaler=-1)
p.model.linear_solver = om.DirectSolver()
#
# Setup the problem and set our initial values.
#
p.setup(check=True)
phase.set_time_val(initial=0.0, duration=1.0)
phase.set_state_val('x', [0, 0.25])
phase.set_state_val('v', [0, 0])
phase.set_control_val('u', [1, -1])
#
# Solve the problem.
#
dm.run_problem(p, simulate=True)
'rhs_checking' is disabled for 'DirectSolver in <model> <class Group>' but that solver has redundant adjoint solves. If it is expensive to compute derivatives for this solver, turning on 'rhs_checking' may improve performance.
INFO: checking out_of_order...
INFO: out_of_order check complete (0.000239 sec).
INFO: checking system...
INFO: system check complete (0.000018 sec).
INFO: checking solvers...
INFO: solvers check complete (0.000132 sec).
INFO: checking dup_inputs...
INFO: dup_inputs check complete (0.000037 sec).
INFO: checking missing_recorders...
INFO: missing_recorders check complete (0.000002 sec).
INFO: checking unserializable_options...
INFO: unserializable_options check complete (0.001030 sec).
INFO: checking comp_has_no_outputs...
WARNING: The following Components do not have any outputs:
traj.phases.phase0.rhs_all
INFO: comp_has_no_outputs check complete (0.000480 sec).
INFO: checking auto_ivc_warnings...
INFO: auto_ivc_warnings check complete (0.000003 sec).
Jacobian shape: (181, 327) (1.51% nonzero)
FWD solves: 0 REV solves: 6
Total colors vs. total size: 6 vs 181 (96.69% improvement)
Sparsity computed using tolerance: 1e-25.
Dense total jacobian for Problem 'problem' was computed 3 times.
Time to compute sparsity: 0.0573 sec
Time to compute coloring: 0.1605 sec
Memory to compute coloring: 0.6250 MB
Coloring created on: 2025-09-30 18:50:31
+------------------------------------------------------------------------------+
| pyOptSparse Warning: Values in x were outside bounds during a minimize |
| step, clipping to bounds |
+------------------------------------------------------------------------------+
Optimization Problem -- Optimization using pyOpt_sparse
================================================================================
Objective Function: _objfunc
Solution:
--------------------------------------------------------------------------------
Total Time: 2.6678
User Objective Time : 0.0160
User Sensitivity Time : 0.7666
Interface Time : 0.2181
Opt Solver Time: 1.6671
Calls to Objective Function : 19
Calls to Sens Function : 19
Objectives
Index Name Value
0 traj.phase0.states:x -2.500000E-01
Variables (c - continuous, i - integer, d - discrete)
Index Name Type Lower Bound Value Upper Bound Status
0 traj.phase0.states:v_0 c -1.000000E+21 1.183503E-02 1.000000E+21
1 traj.phase0.states:v_1 c -1.000000E+21 2.816497E-02 1.000000E+21
2 traj.phase0.states:v_2 c -1.000000E+21 3.333333E-02 1.000000E+21
3 traj.phase0.states:v_3 c -1.000000E+21 3.333333E-02 1.000000E+21
4 traj.phase0.states:v_4 c -1.000000E+21 4.516837E-02 1.000000E+21
5 traj.phase0.states:v_5 c -1.000000E+21 6.149830E-02 1.000000E+21
6 traj.phase0.states:v_6 c -1.000000E+21 6.666667E-02 1.000000E+21
7 traj.phase0.states:v_7 c -1.000000E+21 6.666667E-02 1.000000E+21
8 traj.phase0.states:v_8 c -1.000000E+21 7.850170E-02 1.000000E+21
9 traj.phase0.states:v_9 c -1.000000E+21 9.483163E-02 1.000000E+21
10 traj.phase0.states:v_10 c -1.000000E+21 1.000000E-01 1.000000E+21
11 traj.phase0.states:v_11 c -1.000000E+21 1.000000E-01 1.000000E+21
12 traj.phase0.states:v_12 c -1.000000E+21 1.118350E-01 1.000000E+21
13 traj.phase0.states:v_13 c -1.000000E+21 1.281650E-01 1.000000E+21
14 traj.phase0.states:v_14 c -1.000000E+21 1.333333E-01 1.000000E+21
15 traj.phase0.states:v_15 c -1.000000E+21 1.333333E-01 1.000000E+21
16 traj.phase0.states:v_16 c -1.000000E+21 1.451684E-01 1.000000E+21
17 traj.phase0.states:v_17 c -1.000000E+21 1.614983E-01 1.000000E+21
18 traj.phase0.states:v_18 c -1.000000E+21 1.666667E-01 1.000000E+21
19 traj.phase0.states:v_19 c -1.000000E+21 1.666667E-01 1.000000E+21
20 traj.phase0.states:v_20 c -1.000000E+21 1.785017E-01 1.000000E+21
21 traj.phase0.states:v_21 c -1.000000E+21 1.948316E-01 1.000000E+21
22 traj.phase0.states:v_22 c -1.000000E+21 2.000000E-01 1.000000E+21
23 traj.phase0.states:v_23 c -1.000000E+21 2.000000E-01 1.000000E+21
24 traj.phase0.states:v_24 c -1.000000E+21 2.118350E-01 1.000000E+21
25 traj.phase0.states:v_25 c -1.000000E+21 2.281650E-01 1.000000E+21
26 traj.phase0.states:v_26 c -1.000000E+21 2.333333E-01 1.000000E+21
27 traj.phase0.states:v_27 c -1.000000E+21 2.333333E-01 1.000000E+21
28 traj.phase0.states:v_28 c -1.000000E+21 2.451684E-01 1.000000E+21
29 traj.phase0.states:v_29 c -1.000000E+21 2.614983E-01 1.000000E+21
30 traj.phase0.states:v_30 c -1.000000E+21 2.666667E-01 1.000000E+21
31 traj.phase0.states:v_31 c -1.000000E+21 2.666667E-01 1.000000E+21
32 traj.phase0.states:v_32 c -1.000000E+21 2.785017E-01 1.000000E+21
33 traj.phase0.states:v_33 c -1.000000E+21 2.948316E-01 1.000000E+21
34 traj.phase0.states:v_34 c -1.000000E+21 3.000000E-01 1.000000E+21
35 traj.phase0.states:v_35 c -1.000000E+21 3.000000E-01 1.000000E+21
36 traj.phase0.states:v_36 c -1.000000E+21 3.118350E-01 1.000000E+21
37 traj.phase0.states:v_37 c -1.000000E+21 3.281650E-01 1.000000E+21
38 traj.phase0.states:v_38 c -1.000000E+21 3.333333E-01 1.000000E+21
39 traj.phase0.states:v_39 c -1.000000E+21 3.333333E-01 1.000000E+21
40 traj.phase0.states:v_40 c -1.000000E+21 3.451684E-01 1.000000E+21
41 traj.phase0.states:v_41 c -1.000000E+21 3.614983E-01 1.000000E+21
42 traj.phase0.states:v_42 c -1.000000E+21 3.666667E-01 1.000000E+21
43 traj.phase0.states:v_43 c -1.000000E+21 3.666667E-01 1.000000E+21
44 traj.phase0.states:v_44 c -1.000000E+21 3.785017E-01 1.000000E+21
45 traj.phase0.states:v_45 c -1.000000E+21 3.948316E-01 1.000000E+21
46 traj.phase0.states:v_46 c -1.000000E+21 4.000000E-01 1.000000E+21
47 traj.phase0.states:v_47 c -1.000000E+21 4.000000E-01 1.000000E+21
48 traj.phase0.states:v_48 c -1.000000E+21 4.118350E-01 1.000000E+21
49 traj.phase0.states:v_49 c -1.000000E+21 4.281650E-01 1.000000E+21
50 traj.phase0.states:v_50 c -1.000000E+21 4.333333E-01 1.000000E+21
51 traj.phase0.states:v_51 c -1.000000E+21 4.333333E-01 1.000000E+21
52 traj.phase0.states:v_52 c -1.000000E+21 4.451684E-01 1.000000E+21
53 traj.phase0.states:v_53 c -1.000000E+21 4.614983E-01 1.000000E+21
54 traj.phase0.states:v_54 c -1.000000E+21 4.666667E-01 1.000000E+21
55 traj.phase0.states:v_55 c -1.000000E+21 4.666667E-01 1.000000E+21
56 traj.phase0.states:v_56 c -1.000000E+21 4.785017E-01 1.000000E+21
57 traj.phase0.states:v_57 c -1.000000E+21 4.948316E-01 1.000000E+21
58 traj.phase0.states:v_58 c -1.000000E+21 5.000000E-01 1.000000E+21
59 traj.phase0.states:v_59 c -1.000000E+21 5.000000E-01 1.000000E+21
60 traj.phase0.states:v_60 c -1.000000E+21 4.881650E-01 1.000000E+21
61 traj.phase0.states:v_61 c -1.000000E+21 4.718350E-01 1.000000E+21
62 traj.phase0.states:v_62 c -1.000000E+21 4.666667E-01 1.000000E+21
63 traj.phase0.states:v_63 c -1.000000E+21 4.666667E-01 1.000000E+21
64 traj.phase0.states:v_64 c -1.000000E+21 4.548316E-01 1.000000E+21
65 traj.phase0.states:v_65 c -1.000000E+21 4.385017E-01 1.000000E+21
66 traj.phase0.states:v_66 c -1.000000E+21 4.333333E-01 1.000000E+21
67 traj.phase0.states:v_67 c -1.000000E+21 4.333333E-01 1.000000E+21
68 traj.phase0.states:v_68 c -1.000000E+21 4.214983E-01 1.000000E+21
69 traj.phase0.states:v_69 c -1.000000E+21 4.051684E-01 1.000000E+21
70 traj.phase0.states:v_70 c -1.000000E+21 4.000000E-01 1.000000E+21
71 traj.phase0.states:v_71 c -1.000000E+21 4.000000E-01 1.000000E+21
72 traj.phase0.states:v_72 c -1.000000E+21 3.881650E-01 1.000000E+21
73 traj.phase0.states:v_73 c -1.000000E+21 3.718350E-01 1.000000E+21
74 traj.phase0.states:v_74 c -1.000000E+21 3.666667E-01 1.000000E+21
75 traj.phase0.states:v_75 c -1.000000E+21 3.666667E-01 1.000000E+21
76 traj.phase0.states:v_76 c -1.000000E+21 3.548316E-01 1.000000E+21
77 traj.phase0.states:v_77 c -1.000000E+21 3.385017E-01 1.000000E+21
78 traj.phase0.states:v_78 c -1.000000E+21 3.333333E-01 1.000000E+21
79 traj.phase0.states:v_79 c -1.000000E+21 3.333333E-01 1.000000E+21
80 traj.phase0.states:v_80 c -1.000000E+21 3.214983E-01 1.000000E+21
81 traj.phase0.states:v_81 c -1.000000E+21 3.051684E-01 1.000000E+21
82 traj.phase0.states:v_82 c -1.000000E+21 3.000000E-01 1.000000E+21
83 traj.phase0.states:v_83 c -1.000000E+21 3.000000E-01 1.000000E+21
84 traj.phase0.states:v_84 c -1.000000E+21 2.881650E-01 1.000000E+21
85 traj.phase0.states:v_85 c -1.000000E+21 2.718350E-01 1.000000E+21
86 traj.phase0.states:v_86 c -1.000000E+21 2.666667E-01 1.000000E+21
87 traj.phase0.states:v_87 c -1.000000E+21 2.666667E-01 1.000000E+21
88 traj.phase0.states:v_88 c -1.000000E+21 2.548316E-01 1.000000E+21
89 traj.phase0.states:v_89 c -1.000000E+21 2.385017E-01 1.000000E+21
90 traj.phase0.states:v_90 c -1.000000E+21 2.333333E-01 1.000000E+21
91 traj.phase0.states:v_91 c -1.000000E+21 2.333333E-01 1.000000E+21
92 traj.phase0.states:v_92 c -1.000000E+21 2.214983E-01 1.000000E+21
93 traj.phase0.states:v_93 c -1.000000E+21 2.051684E-01 1.000000E+21
94 traj.phase0.states:v_94 c -1.000000E+21 2.000000E-01 1.000000E+21
95 traj.phase0.states:v_95 c -1.000000E+21 2.000000E-01 1.000000E+21
96 traj.phase0.states:v_96 c -1.000000E+21 1.881650E-01 1.000000E+21
97 traj.phase0.states:v_97 c -1.000000E+21 1.718350E-01 1.000000E+21
98 traj.phase0.states:v_98 c -1.000000E+21 1.666667E-01 1.000000E+21
99 traj.phase0.states:v_99 c -1.000000E+21 1.666667E-01 1.000000E+21
100 traj.phase0.states:v_100 c -1.000000E+21 1.548316E-01 1.000000E+21
101 traj.phase0.states:v_101 c -1.000000E+21 1.385017E-01 1.000000E+21
102 traj.phase0.states:v_102 c -1.000000E+21 1.333333E-01 1.000000E+21
103 traj.phase0.states:v_103 c -1.000000E+21 1.333333E-01 1.000000E+21
104 traj.phase0.states:v_104 c -1.000000E+21 1.214983E-01 1.000000E+21
105 traj.phase0.states:v_105 c -1.000000E+21 1.051684E-01 1.000000E+21
106 traj.phase0.states:v_106 c -1.000000E+21 1.000000E-01 1.000000E+21
107 traj.phase0.states:v_107 c -1.000000E+21 1.000000E-01 1.000000E+21
108 traj.phase0.states:v_108 c -1.000000E+21 8.816497E-02 1.000000E+21
109 traj.phase0.states:v_109 c -1.000000E+21 7.183503E-02 1.000000E+21
110 traj.phase0.states:v_110 c -1.000000E+21 6.666667E-02 1.000000E+21
111 traj.phase0.states:v_111 c -1.000000E+21 6.666667E-02 1.000000E+21
112 traj.phase0.states:v_112 c -1.000000E+21 5.483163E-02 1.000000E+21
113 traj.phase0.states:v_113 c -1.000000E+21 3.850170E-02 1.000000E+21
114 traj.phase0.states:v_114 c -1.000000E+21 3.333333E-02 1.000000E+21
115 traj.phase0.states:v_115 c -1.000000E+21 3.333333E-02 1.000000E+21
116 traj.phase0.states:v_116 c -1.000000E+21 2.149830E-02 1.000000E+21
117 traj.phase0.states:v_117 c -1.000000E+21 5.168368E-03 1.000000E+21
118 traj.phase0.states:x_0 c -1.000000E+21 7.003402E-05 1.000000E+21
119 traj.phase0.states:x_1 c -1.000000E+21 3.966326E-04 1.000000E+21
120 traj.phase0.states:x_2 c -1.000000E+21 5.555556E-04 1.000000E+21
121 traj.phase0.states:x_3 c -1.000000E+21 5.555556E-04 1.000000E+21
122 traj.phase0.states:x_4 c -1.000000E+21 1.020091E-03 1.000000E+21
123 traj.phase0.states:x_5 c -1.000000E+21 1.891020E-03 1.000000E+21
124 traj.phase0.states:x_6 c -1.000000E+21 2.222222E-03 1.000000E+21
125 traj.phase0.states:x_7 c -1.000000E+21 2.222222E-03 1.000000E+21
126 traj.phase0.states:x_8 c -1.000000E+21 3.081259E-03 1.000000E+21
127 traj.phase0.states:x_9 c -1.000000E+21 4.496519E-03 1.000000E+21
128 traj.phase0.states:x_10 c -1.000000E+21 5.000000E-03 1.000000E+21
129 traj.phase0.states:x_11 c -1.000000E+21 5.000000E-03 1.000000E+21
130 traj.phase0.states:x_12 c -1.000000E+21 6.253537E-03 1.000000E+21
131 traj.phase0.states:x_13 c -1.000000E+21 8.213129E-03 1.000000E+21
132 traj.phase0.states:x_14 c -1.000000E+21 8.888889E-03 1.000000E+21
133 traj.phase0.states:x_15 c -1.000000E+21 8.888889E-03 1.000000E+21
134 traj.phase0.states:x_16 c -1.000000E+21 1.053693E-02 1.000000E+21
135 traj.phase0.states:x_17 c -1.000000E+21 1.304085E-02 1.000000E+21
136 traj.phase0.states:x_18 c -1.000000E+21 1.388889E-02 1.000000E+21
137 traj.phase0.states:x_19 c -1.000000E+21 1.388889E-02 1.000000E+21
138 traj.phase0.states:x_20 c -1.000000E+21 1.593143E-02 1.000000E+21
139 traj.phase0.states:x_21 c -1.000000E+21 1.897968E-02 1.000000E+21
140 traj.phase0.states:x_22 c -1.000000E+21 2.000000E-02 1.000000E+21
141 traj.phase0.states:x_23 c -1.000000E+21 2.000000E-02 1.000000E+21
142 traj.phase0.states:x_24 c -1.000000E+21 2.243704E-02 1.000000E+21
143 traj.phase0.states:x_25 c -1.000000E+21 2.602963E-02 1.000000E+21
144 traj.phase0.states:x_26 c -1.000000E+21 2.722222E-02 1.000000E+21
145 traj.phase0.states:x_27 c -1.000000E+21 2.722222E-02 1.000000E+21
146 traj.phase0.states:x_28 c -1.000000E+21 3.005376E-02 1.000000E+21
147 traj.phase0.states:x_29 c -1.000000E+21 3.419068E-02 1.000000E+21
148 traj.phase0.states:x_30 c -1.000000E+21 3.555556E-02 1.000000E+21
149 traj.phase0.states:x_31 c -1.000000E+21 3.555556E-02 1.000000E+21
150 traj.phase0.states:x_32 c -1.000000E+21 3.878160E-02 1.000000E+21
151 traj.phase0.states:x_33 c -1.000000E+21 4.346285E-02 1.000000E+21
152 traj.phase0.states:x_34 c -1.000000E+21 4.500000E-02 1.000000E+21
153 traj.phase0.states:x_35 c -1.000000E+21 4.500000E-02 1.000000E+21
154 traj.phase0.states:x_36 c -1.000000E+21 4.862054E-02 1.000000E+21
155 traj.phase0.states:x_37 c -1.000000E+21 5.384612E-02 1.000000E+21
156 traj.phase0.states:x_38 c -1.000000E+21 5.555556E-02 1.000000E+21
157 traj.phase0.states:x_39 c -1.000000E+21 5.555556E-02 1.000000E+21
158 traj.phase0.states:x_40 c -1.000000E+21 5.957060E-02 1.000000E+21
159 traj.phase0.states:x_41 c -1.000000E+21 6.534051E-02 1.000000E+21
160 traj.phase0.states:x_42 c -1.000000E+21 6.722222E-02 1.000000E+21
161 traj.phase0.states:x_43 c -1.000000E+21 6.722222E-02 1.000000E+21
162 traj.phase0.states:x_44 c -1.000000E+21 7.163177E-02 1.000000E+21
163 traj.phase0.states:x_45 c -1.000000E+21 7.794601E-02 1.000000E+21
164 traj.phase0.states:x_46 c -1.000000E+21 8.000000E-02 1.000000E+21
165 traj.phase0.states:x_47 c -1.000000E+21 8.000000E-02 1.000000E+21
166 traj.phase0.states:x_48 c -1.000000E+21 8.480405E-02 1.000000E+21
167 traj.phase0.states:x_49 c -1.000000E+21 9.166262E-02 1.000000E+21
168 traj.phase0.states:x_50 c -1.000000E+21 9.388889E-02 1.000000E+21
169 traj.phase0.states:x_51 c -1.000000E+21 9.388889E-02 1.000000E+21
170 traj.phase0.states:x_52 c -1.000000E+21 9.908744E-02 1.000000E+21
171 traj.phase0.states:x_53 c -1.000000E+21 1.064903E-01 1.000000E+21
172 traj.phase0.states:x_54 c -1.000000E+21 1.088889E-01 1.000000E+21
173 traj.phase0.states:x_55 c -1.000000E+21 1.088889E-01 1.000000E+21
174 traj.phase0.states:x_56 c -1.000000E+21 1.144819E-01 1.000000E+21
175 traj.phase0.states:x_57 c -1.000000E+21 1.224292E-01 1.000000E+21
176 traj.phase0.states:x_58 c -1.000000E+21 1.250000E-01 1.000000E+21
177 traj.phase0.states:x_59 c -1.000000E+21 1.250000E-01 1.000000E+21
178 traj.phase0.states:x_60 c -1.000000E+21 1.308475E-01 1.000000E+21
179 traj.phase0.states:x_61 c -1.000000E+21 1.386859E-01 1.000000E+21
180 traj.phase0.states:x_62 c -1.000000E+21 1.411111E-01 1.000000E+21
181 traj.phase0.states:x_63 c -1.000000E+21 1.411111E-01 1.000000E+21
182 traj.phase0.states:x_64 c -1.000000E+21 1.465641E-01 1.000000E+21
183 traj.phase0.states:x_65 c -1.000000E+21 1.538581E-01 1.000000E+21
184 traj.phase0.states:x_66 c -1.000000E+21 1.561111E-01 1.000000E+21
185 traj.phase0.states:x_67 c -1.000000E+21 1.561111E-01 1.000000E+21
186 traj.phase0.states:x_68 c -1.000000E+21 1.611696E-01 1.000000E+21
187 traj.phase0.states:x_69 c -1.000000E+21 1.679193E-01 1.000000E+21
188 traj.phase0.states:x_70 c -1.000000E+21 1.700000E-01 1.000000E+21
189 traj.phase0.states:x_71 c -1.000000E+21 1.700000E-01 1.000000E+21
190 traj.phase0.states:x_72 c -1.000000E+21 1.746640E-01 1.000000E+21
191 traj.phase0.states:x_73 c -1.000000E+21 1.808694E-01 1.000000E+21
192 traj.phase0.states:x_74 c -1.000000E+21 1.827778E-01 1.000000E+21
193 traj.phase0.states:x_75 c -1.000000E+21 1.827778E-01 1.000000E+21
194 traj.phase0.states:x_76 c -1.000000E+21 1.870473E-01 1.000000E+21
195 traj.phase0.states:x_77 c -1.000000E+21 1.927083E-01 1.000000E+21
196 traj.phase0.states:x_78 c -1.000000E+21 1.944444E-01 1.000000E+21
197 traj.phase0.states:x_79 c -1.000000E+21 1.944444E-01 1.000000E+21
198 traj.phase0.states:x_80 c -1.000000E+21 1.983194E-01 1.000000E+21
199 traj.phase0.states:x_81 c -1.000000E+21 2.034361E-01 1.000000E+21
200 traj.phase0.states:x_82 c -1.000000E+21 2.050000E-01 1.000000E+21
201 traj.phase0.states:x_83 c -1.000000E+21 2.050000E-01 1.000000E+21
202 traj.phase0.states:x_84 c -1.000000E+21 2.084805E-01 1.000000E+21
203 traj.phase0.states:x_85 c -1.000000E+21 2.130529E-01 1.000000E+21
204 traj.phase0.states:x_86 c -1.000000E+21 2.144444E-01 1.000000E+21
205 traj.phase0.states:x_87 c -1.000000E+21 2.144444E-01 1.000000E+21
206 traj.phase0.states:x_88 c -1.000000E+21 2.175304E-01 1.000000E+21
207 traj.phase0.states:x_89 c -1.000000E+21 2.215585E-01 1.000000E+21
208 traj.phase0.states:x_90 c -1.000000E+21 2.227778E-01 1.000000E+21
209 traj.phase0.states:x_91 c -1.000000E+21 2.227778E-01 1.000000E+21
210 traj.phase0.states:x_92 c -1.000000E+21 2.254693E-01 1.000000E+21
211 traj.phase0.states:x_93 c -1.000000E+21 2.289530E-01 1.000000E+21
212 traj.phase0.states:x_94 c -1.000000E+21 2.300000E-01 1.000000E+21
213 traj.phase0.states:x_95 c -1.000000E+21 2.300000E-01 1.000000E+21
214 traj.phase0.states:x_96 c -1.000000E+21 2.322970E-01 1.000000E+21
215 traj.phase0.states:x_97 c -1.000000E+21 2.352364E-01 1.000000E+21
216 traj.phase0.states:x_98 c -1.000000E+21 2.361111E-01 1.000000E+21
217 traj.phase0.states:x_99 c -1.000000E+21 2.361111E-01 1.000000E+21
218 traj.phase0.states:x_100 c -1.000000E+21 2.380136E-01 1.000000E+21
219 traj.phase0.states:x_101 c -1.000000E+21 2.404086E-01 1.000000E+21
220 traj.phase0.states:x_102 c -1.000000E+21 2.411111E-01 1.000000E+21
221 traj.phase0.states:x_103 c -1.000000E+21 2.411111E-01 1.000000E+21
222 traj.phase0.states:x_104 c -1.000000E+21 2.426191E-01 1.000000E+21
223 traj.phase0.states:x_105 c -1.000000E+21 2.444698E-01 1.000000E+21
224 traj.phase0.states:x_106 c -1.000000E+21 2.450000E-01 1.000000E+21
225 traj.phase0.states:x_107 c -1.000000E+21 2.450000E-01 1.000000E+21
226 traj.phase0.states:x_108 c -1.000000E+21 2.461135E-01 1.000000E+21
227 traj.phase0.states:x_109 c -1.000000E+21 2.474199E-01 1.000000E+21
228 traj.phase0.states:x_110 c -1.000000E+21 2.477778E-01 1.000000E+21
229 traj.phase0.states:x_111 c -1.000000E+21 2.477778E-01 1.000000E+21
230 traj.phase0.states:x_112 c -1.000000E+21 2.484967E-01 1.000000E+21
231 traj.phase0.states:x_113 c -1.000000E+21 2.492588E-01 1.000000E+21
232 traj.phase0.states:x_114 c -1.000000E+21 2.494444E-01 1.000000E+21
233 traj.phase0.states:x_115 c -1.000000E+21 2.494444E-01 1.000000E+21
234 traj.phase0.states:x_116 c -1.000000E+21 2.497689E-01 1.000000E+21
235 traj.phase0.states:x_117 c -1.000000E+21 2.499866E-01 1.000000E+21
236 traj.phase0.states:x_118 c -1.000000E+21 2.500000E-01 1.000000E+21
237 traj.phase0.controls:u_0 c -1.000000E-02 1.000000E-02 1.000000E-02 u
238 traj.phase0.controls:u_1 c -1.000000E-02 1.000000E-02 1.000000E-02 u
239 traj.phase0.controls:u_2 c -1.000000E-02 1.000000E-02 1.000000E-02 u
240 traj.phase0.controls:u_3 c -1.000000E-02 1.000000E-02 1.000000E-02 u
241 traj.phase0.controls:u_4 c -1.000000E-02 1.000000E-02 1.000000E-02 u
242 traj.phase0.controls:u_5 c -1.000000E-02 1.000000E-02 1.000000E-02 u
243 traj.phase0.controls:u_6 c -1.000000E-02 1.000000E-02 1.000000E-02 u
244 traj.phase0.controls:u_7 c -1.000000E-02 1.000000E-02 1.000000E-02 u
245 traj.phase0.controls:u_8 c -1.000000E-02 1.000000E-02 1.000000E-02 u
246 traj.phase0.controls:u_9 c -1.000000E-02 1.000000E-02 1.000000E-02 u
247 traj.phase0.controls:u_10 c -1.000000E-02 1.000000E-02 1.000000E-02 u
248 traj.phase0.controls:u_11 c -1.000000E-02 1.000000E-02 1.000000E-02 u
249 traj.phase0.controls:u_12 c -1.000000E-02 1.000000E-02 1.000000E-02 u
250 traj.phase0.controls:u_13 c -1.000000E-02 1.000000E-02 1.000000E-02 u
251 traj.phase0.controls:u_14 c -1.000000E-02 1.000000E-02 1.000000E-02 u
252 traj.phase0.controls:u_15 c -1.000000E-02 1.000000E-02 1.000000E-02 u
253 traj.phase0.controls:u_16 c -1.000000E-02 1.000000E-02 1.000000E-02 u
254 traj.phase0.controls:u_17 c -1.000000E-02 1.000000E-02 1.000000E-02 u
255 traj.phase0.controls:u_18 c -1.000000E-02 1.000000E-02 1.000000E-02 u
256 traj.phase0.controls:u_19 c -1.000000E-02 1.000000E-02 1.000000E-02 u
257 traj.phase0.controls:u_20 c -1.000000E-02 1.000000E-02 1.000000E-02 u
258 traj.phase0.controls:u_21 c -1.000000E-02 1.000000E-02 1.000000E-02 u
259 traj.phase0.controls:u_22 c -1.000000E-02 1.000000E-02 1.000000E-02 u
260 traj.phase0.controls:u_23 c -1.000000E-02 1.000000E-02 1.000000E-02 u
261 traj.phase0.controls:u_24 c -1.000000E-02 1.000000E-02 1.000000E-02 u
262 traj.phase0.controls:u_25 c -1.000000E-02 1.000000E-02 1.000000E-02 u
263 traj.phase0.controls:u_26 c -1.000000E-02 1.000000E-02 1.000000E-02 u
264 traj.phase0.controls:u_27 c -1.000000E-02 1.000000E-02 1.000000E-02 u
265 traj.phase0.controls:u_28 c -1.000000E-02 1.000000E-02 1.000000E-02 u
266 traj.phase0.controls:u_29 c -1.000000E-02 1.000000E-02 1.000000E-02 u
267 traj.phase0.controls:u_30 c -1.000000E-02 1.000000E-02 1.000000E-02 u
268 traj.phase0.controls:u_31 c -1.000000E-02 1.000000E-02 1.000000E-02 u
269 traj.phase0.controls:u_32 c -1.000000E-02 1.000000E-02 1.000000E-02 u
270 traj.phase0.controls:u_33 c -1.000000E-02 1.000000E-02 1.000000E-02 u
271 traj.phase0.controls:u_34 c -1.000000E-02 1.000000E-02 1.000000E-02 u
272 traj.phase0.controls:u_35 c -1.000000E-02 1.000000E-02 1.000000E-02 u
273 traj.phase0.controls:u_36 c -1.000000E-02 1.000000E-02 1.000000E-02 u
274 traj.phase0.controls:u_37 c -1.000000E-02 1.000000E-02 1.000000E-02 u
275 traj.phase0.controls:u_38 c -1.000000E-02 1.000000E-02 1.000000E-02 u
276 traj.phase0.controls:u_39 c -1.000000E-02 1.000000E-02 1.000000E-02 u
277 traj.phase0.controls:u_40 c -1.000000E-02 1.000000E-02 1.000000E-02 u
278 traj.phase0.controls:u_41 c -1.000000E-02 1.000000E-02 1.000000E-02 u
279 traj.phase0.controls:u_42 c -1.000000E-02 1.000000E-02 1.000000E-02 u
280 traj.phase0.controls:u_43 c -1.000000E-02 1.000000E-02 1.000000E-02 u
281 traj.phase0.controls:u_44 c -1.000000E-02 1.000000E-02 1.000000E-02 u
282 traj.phase0.controls:u_45 c -1.000000E-02 -1.000000E-02 1.000000E-02 l
283 traj.phase0.controls:u_46 c -1.000000E-02 -1.000000E-02 1.000000E-02 l
284 traj.phase0.controls:u_47 c -1.000000E-02 -1.000000E-02 1.000000E-02 l
285 traj.phase0.controls:u_48 c -1.000000E-02 -1.000000E-02 1.000000E-02 l
286 traj.phase0.controls:u_49 c -1.000000E-02 -1.000000E-02 1.000000E-02 l
287 traj.phase0.controls:u_50 c -1.000000E-02 -1.000000E-02 1.000000E-02 l
288 traj.phase0.controls:u_51 c -1.000000E-02 -1.000000E-02 1.000000E-02 l
289 traj.phase0.controls:u_52 c -1.000000E-02 -1.000000E-02 1.000000E-02 l
290 traj.phase0.controls:u_53 c -1.000000E-02 -1.000000E-02 1.000000E-02 l
291 traj.phase0.controls:u_54 c -1.000000E-02 -1.000000E-02 1.000000E-02 l
292 traj.phase0.controls:u_55 c -1.000000E-02 -1.000000E-02 1.000000E-02 l
293 traj.phase0.controls:u_56 c -1.000000E-02 -1.000000E-02 1.000000E-02 l
294 traj.phase0.controls:u_57 c -1.000000E-02 -1.000000E-02 1.000000E-02 l
295 traj.phase0.controls:u_58 c -1.000000E-02 -1.000000E-02 1.000000E-02 l
296 traj.phase0.controls:u_59 c -1.000000E-02 -1.000000E-02 1.000000E-02 l
297 traj.phase0.controls:u_60 c -1.000000E-02 -1.000000E-02 1.000000E-02 l
298 traj.phase0.controls:u_61 c -1.000000E-02 -1.000000E-02 1.000000E-02 l
299 traj.phase0.controls:u_62 c -1.000000E-02 -1.000000E-02 1.000000E-02 l
300 traj.phase0.controls:u_63 c -1.000000E-02 -1.000000E-02 1.000000E-02 l
301 traj.phase0.controls:u_64 c -1.000000E-02 -1.000000E-02 1.000000E-02 l
302 traj.phase0.controls:u_65 c -1.000000E-02 -1.000000E-02 1.000000E-02 l
303 traj.phase0.controls:u_66 c -1.000000E-02 -1.000000E-02 1.000000E-02 l
304 traj.phase0.controls:u_67 c -1.000000E-02 -1.000000E-02 1.000000E-02 l
305 traj.phase0.controls:u_68 c -1.000000E-02 -1.000000E-02 1.000000E-02 l
306 traj.phase0.controls:u_69 c -1.000000E-02 -1.000000E-02 1.000000E-02 l
307 traj.phase0.controls:u_70 c -1.000000E-02 -1.000000E-02 1.000000E-02 l
308 traj.phase0.controls:u_71 c -1.000000E-02 -1.000000E-02 1.000000E-02 l
309 traj.phase0.controls:u_72 c -1.000000E-02 -1.000000E-02 1.000000E-02 l
310 traj.phase0.controls:u_73 c -1.000000E-02 -1.000000E-02 1.000000E-02 l
311 traj.phase0.controls:u_74 c -1.000000E-02 -1.000000E-02 1.000000E-02 l
312 traj.phase0.controls:u_75 c -1.000000E-02 -1.000000E-02 1.000000E-02 l
313 traj.phase0.controls:u_76 c -1.000000E-02 -1.000000E-02 1.000000E-02 l
314 traj.phase0.controls:u_77 c -1.000000E-02 -1.000000E-02 1.000000E-02 l
315 traj.phase0.controls:u_78 c -1.000000E-02 -1.000000E-02 1.000000E-02 l
316 traj.phase0.controls:u_79 c -1.000000E-02 -1.000000E-02 1.000000E-02 l
317 traj.phase0.controls:u_80 c -1.000000E-02 -1.000000E-02 1.000000E-02 l
318 traj.phase0.controls:u_81 c -1.000000E-02 -1.000000E-02 1.000000E-02 l
319 traj.phase0.controls:u_82 c -1.000000E-02 -1.000000E-02 1.000000E-02 l
320 traj.phase0.controls:u_83 c -1.000000E-02 -1.000000E-02 1.000000E-02 l
321 traj.phase0.controls:u_84 c -1.000000E-02 -1.000000E-02 1.000000E-02 l
322 traj.phase0.controls:u_85 c -1.000000E-02 -1.000000E-02 1.000000E-02 l
323 traj.phase0.controls:u_86 c -1.000000E-02 -1.000000E-02 1.000000E-02 l
324 traj.phase0.controls:u_87 c -1.000000E-02 -1.000000E-02 1.000000E-02 l
325 traj.phase0.controls:u_88 c -1.000000E-02 -1.000000E-02 1.000000E-02 l
326 traj.phase0.controls:u_89 c -1.000000E-02 -1.000000E-02 1.000000E-02 l
Constraints (i - inequality, e - equality)
Index Name Type Lower Value Upper Status Lagrange Multiplier (N/A)
0 traj.phase0.collocation_constraint.defects:v e 0.000000E+00 -7.401487E-18 0.000000E+00 9.00000E+100
1 traj.phase0.collocation_constraint.defects:v e 0.000000E+00 2.627528E-16 0.000000E+00 9.00000E+100
2 traj.phase0.collocation_constraint.defects:v e 0.000000E+00 1.850372E-18 0.000000E+00 9.00000E+100
3 traj.phase0.collocation_constraint.defects:v e 0.000000E+00 4.070818E-17 0.000000E+00 9.00000E+100
4 traj.phase0.collocation_constraint.defects:v e 0.000000E+00 1.480297E-17 0.000000E+00 9.00000E+100
5 traj.phase0.collocation_constraint.defects:v e 0.000000E+00 6.420790E-16 0.000000E+00 9.00000E+100
6 traj.phase0.collocation_constraint.defects:v e 0.000000E+00 3.071617E-16 0.000000E+00 9.00000E+100
7 traj.phase0.collocation_constraint.defects:v e 0.000000E+00 -7.401487E-18 0.000000E+00 9.00000E+100
8 traj.phase0.collocation_constraint.defects:v e 0.000000E+00 1.850372E-18 0.000000E+00 9.00000E+100
9 traj.phase0.collocation_constraint.defects:v e 0.000000E+00 2.590520E-17 0.000000E+00 9.00000E+100
10 traj.phase0.collocation_constraint.defects:v e 0.000000E+00 -3.330669E-17 0.000000E+00 9.00000E+100
11 traj.phase0.collocation_constraint.defects:v e 0.000000E+00 5.736152E-17 0.000000E+00 9.00000E+100
12 traj.phase0.collocation_constraint.defects:v e 0.000000E+00 2.775558E-16 0.000000E+00 9.00000E+100
13 traj.phase0.collocation_constraint.defects:v e 0.000000E+00 3.700743E-17 0.000000E+00 9.00000E+100
14 traj.phase0.collocation_constraint.defects:v e 0.000000E+00 2.794061E-16 0.000000E+00 9.00000E+100
15 traj.phase0.collocation_constraint.defects:v e 0.000000E+00 1.924387E-16 0.000000E+00 9.00000E+100
16 traj.phase0.collocation_constraint.defects:v e 0.000000E+00 -1.850372E-18 0.000000E+00 9.00000E+100
17 traj.phase0.collocation_constraint.defects:v e 0.000000E+00 4.163336E-16 0.000000E+00 9.00000E+100
18 traj.phase0.collocation_constraint.defects:v e 0.000000E+00 -1.110223E-16 0.000000E+00 9.00000E+100
19 traj.phase0.collocation_constraint.defects:v e 0.000000E+00 8.511710E-17 0.000000E+00 9.00000E+100
20 traj.phase0.collocation_constraint.defects:v e 0.000000E+00 -1.665335E-17 0.000000E+00 9.00000E+100
21 traj.phase0.collocation_constraint.defects:v e 0.000000E+00 1.665335E-16 0.000000E+00 9.00000E+100
22 traj.phase0.collocation_constraint.defects:v e 0.000000E+00 5.736152E-17 0.000000E+00 9.00000E+100
23 traj.phase0.collocation_constraint.defects:v e 0.000000E+00 3.904284E-16 0.000000E+00 9.00000E+100
24 traj.phase0.collocation_constraint.defects:v e 0.000000E+00 7.586524E-17 0.000000E+00 9.00000E+100
25 traj.phase0.collocation_constraint.defects:v e 0.000000E+00 5.551115E-17 0.000000E+00 9.00000E+100
26 traj.phase0.collocation_constraint.defects:v e 0.000000E+00 5.736152E-17 0.000000E+00 9.00000E+100
27 traj.phase0.collocation_constraint.defects:v e 0.000000E+00 2.775558E-16 0.000000E+00 9.00000E+100
28 traj.phase0.collocation_constraint.defects:v e 0.000000E+00 4.996004E-17 0.000000E+00 9.00000E+100
29 traj.phase0.collocation_constraint.defects:v e 0.000000E+00 -5.366078E-17 0.000000E+00 9.00000E+100
30 traj.phase0.collocation_constraint.defects:v e 0.000000E+00 1.665335E-16 0.000000E+00 9.00000E+100
31 traj.phase0.collocation_constraint.defects:v e 0.000000E+00 5.551115E-17 0.000000E+00 9.00000E+100
32 traj.phase0.collocation_constraint.defects:v e 0.000000E+00 3.904284E-16 0.000000E+00 9.00000E+100
33 traj.phase0.collocation_constraint.defects:v e 0.000000E+00 -6.476301E-17 0.000000E+00 9.00000E+100
34 traj.phase0.collocation_constraint.defects:v e 0.000000E+00 -2.775558E-17 0.000000E+00 9.00000E+100
35 traj.phase0.collocation_constraint.defects:v e 0.000000E+00 3.608225E-16 0.000000E+00 9.00000E+100
36 traj.phase0.collocation_constraint.defects:v e 0.000000E+00 1.665335E-16 0.000000E+00 9.00000E+100
37 traj.phase0.collocation_constraint.defects:v e 0.000000E+00 1.110223E-16 0.000000E+00 9.00000E+100
38 traj.phase0.collocation_constraint.defects:v e 0.000000E+00 -1.628327E-16 0.000000E+00 9.00000E+100
39 traj.phase0.collocation_constraint.defects:v e 0.000000E+00 1.665335E-16 0.000000E+00 9.00000E+100
40 traj.phase0.collocation_constraint.defects:v e 0.000000E+00 2.775558E-16 0.000000E+00 9.00000E+100
41 traj.phase0.collocation_constraint.defects:v e 0.000000E+00 -5.551115E-18 0.000000E+00 9.00000E+100
42 traj.phase0.collocation_constraint.defects:v e 0.000000E+00 -1.110223E-16 0.000000E+00 9.00000E+100
43 traj.phase0.collocation_constraint.defects:v e 0.000000E+00 1.110223E-16 0.000000E+00 9.00000E+100
44 traj.phase0.collocation_constraint.defects:v e 0.000000E+00 3.904284E-16 0.000000E+00 9.00000E+100
45 traj.phase0.collocation_constraint.defects:v e 0.000000E+00 1.535809E-16 0.000000E+00 9.00000E+100
46 traj.phase0.collocation_constraint.defects:v e 0.000000E+00 -2.220446E-16 0.000000E+00 9.00000E+100
47 traj.phase0.collocation_constraint.defects:v e 0.000000E+00 2.035409E-16 0.000000E+00 9.00000E+100
48 traj.phase0.collocation_constraint.defects:v e 0.000000E+00 9.436896E-17 0.000000E+00 9.00000E+100
49 traj.phase0.collocation_constraint.defects:v e 0.000000E+00 -3.330669E-16 0.000000E+00 9.00000E+100
50 traj.phase0.collocation_constraint.defects:v e 0.000000E+00 -8.141636E-17 0.000000E+00 9.00000E+100
51 traj.phase0.collocation_constraint.defects:v e 0.000000E+00 1.665335E-16 0.000000E+00 9.00000E+100
52 traj.phase0.collocation_constraint.defects:v e 0.000000E+00 -1.110223E-16 0.000000E+00 9.00000E+100
53 traj.phase0.collocation_constraint.defects:v e 0.000000E+00 -1.683838E-16 0.000000E+00 9.00000E+100
54 traj.phase0.collocation_constraint.defects:v e 0.000000E+00 -9.436896E-17 0.000000E+00 9.00000E+100
55 traj.phase0.collocation_constraint.defects:v e 0.000000E+00 -1.110223E-16 0.000000E+00 9.00000E+100
56 traj.phase0.collocation_constraint.defects:v e 0.000000E+00 -2.794061E-16 0.000000E+00 9.00000E+100
57 traj.phase0.collocation_constraint.defects:v e 0.000000E+00 -2.220446E-16 0.000000E+00 9.00000E+100
58 traj.phase0.collocation_constraint.defects:v e 0.000000E+00 -3.885781E-16 0.000000E+00 9.00000E+100
59 traj.phase0.collocation_constraint.defects:v e 0.000000E+00 -1.295260E-17 0.000000E+00 9.00000E+100
60 traj.phase0.collocation_constraint.defects:v e 0.000000E+00 -6.106227E-16 0.000000E+00 9.00000E+100
61 traj.phase0.collocation_constraint.defects:v e 0.000000E+00 -5.551115E-17 0.000000E+00 9.00000E+100
62 traj.phase0.collocation_constraint.defects:v e 0.000000E+00 5.366078E-17 0.000000E+00 9.00000E+100
63 traj.phase0.collocation_constraint.defects:v e 0.000000E+00 -6.106227E-16 0.000000E+00 9.00000E+100
64 traj.phase0.collocation_constraint.defects:v e 0.000000E+00 -3.145632E-17 0.000000E+00 9.00000E+100
65 traj.phase0.collocation_constraint.defects:v e 0.000000E+00 -2.794061E-16 0.000000E+00 9.00000E+100
66 traj.phase0.collocation_constraint.defects:v e 0.000000E+00 7.216450E-17 0.000000E+00 9.00000E+100
67 traj.phase0.collocation_constraint.defects:v e 0.000000E+00 -3.885781E-17 0.000000E+00 9.00000E+100
68 traj.phase0.collocation_constraint.defects:v e 0.000000E+00 -1.850372E-18 0.000000E+00 9.00000E+100
69 traj.phase0.collocation_constraint.defects:v e 0.000000E+00 -3.515706E-17 0.000000E+00 9.00000E+100
70 traj.phase0.collocation_constraint.defects:v e 0.000000E+00 -2.035409E-17 0.000000E+00 9.00000E+100
71 traj.phase0.collocation_constraint.defects:v e 0.000000E+00 1.128727E-16 0.000000E+00 9.00000E+100
72 traj.phase0.collocation_constraint.defects:v e 0.000000E+00 -7.031412E-17 0.000000E+00 9.00000E+100
73 traj.phase0.collocation_constraint.defects:v e 0.000000E+00 -2.960595E-17 0.000000E+00 9.00000E+100
74 traj.phase0.collocation_constraint.defects:v e 0.000000E+00 -1.683838E-16 0.000000E+00 9.00000E+100
75 traj.phase0.collocation_constraint.defects:v e 0.000000E+00 -2.220446E-16 0.000000E+00 9.00000E+100
76 traj.phase0.collocation_constraint.defects:v e 0.000000E+00 5.366078E-17 0.000000E+00 9.00000E+100
77 traj.phase0.collocation_constraint.defects:v e 0.000000E+00 -5.736152E-17 0.000000E+00 9.00000E+100
78 traj.phase0.collocation_constraint.defects:v e 0.000000E+00 -1.406282E-16 0.000000E+00 9.00000E+100
79 traj.phase0.collocation_constraint.defects:v e 0.000000E+00 2.405483E-17 0.000000E+00 9.00000E+100
80 traj.phase0.collocation_constraint.defects:v e 0.000000E+00 -3.145632E-17 0.000000E+00 9.00000E+100
81 traj.phase0.collocation_constraint.defects:v e 0.000000E+00 0.000000E+00 0.000000E+00 9.00000E+100
82 traj.phase0.collocation_constraint.defects:v e 0.000000E+00 -7.401487E-18 0.000000E+00 9.00000E+100
83 traj.phase0.collocation_constraint.defects:v e 0.000000E+00 -3.090121E-16 0.000000E+00 9.00000E+100
84 traj.phase0.collocation_constraint.defects:v e 0.000000E+00 -3.515706E-17 0.000000E+00 9.00000E+100
85 traj.phase0.collocation_constraint.defects:v e 0.000000E+00 1.850372E-17 0.000000E+00 9.00000E+100
86 traj.phase0.collocation_constraint.defects:v e 0.000000E+00 -1.128727E-16 0.000000E+00 9.00000E+100
87 traj.phase0.collocation_constraint.defects:v e 0.000000E+00 0.000000E+00 0.000000E+00 9.00000E+100
88 traj.phase0.collocation_constraint.defects:v e 0.000000E+00 -1.998401E-16 0.000000E+00 9.00000E+100
89 traj.phase0.collocation_constraint.defects:v e 0.000000E+00 -5.551115E-18 0.000000E+00 9.00000E+100
90 traj.phase0.collocation_constraint.defects:x e 0.000000E+00 -1.084202E-19 0.000000E+00 9.00000E+100
91 traj.phase0.collocation_constraint.defects:x e 0.000000E+00 -5.782412E-20 0.000000E+00 9.00000E+100
92 traj.phase0.collocation_constraint.defects:x e 0.000000E+00 -5.782412E-20 0.000000E+00 9.00000E+100
93 traj.phase0.collocation_constraint.defects:x e 0.000000E+00 1.040834E-18 0.000000E+00 9.00000E+100
94 traj.phase0.collocation_constraint.defects:x e 0.000000E+00 5.782412E-19 0.000000E+00 9.00000E+100
95 traj.phase0.collocation_constraint.defects:x e 0.000000E+00 5.782412E-19 0.000000E+00 9.00000E+100
96 traj.phase0.collocation_constraint.defects:x e 0.000000E+00 -2.312965E-19 0.000000E+00 9.00000E+100
97 traj.phase0.collocation_constraint.defects:x e 0.000000E+00 -2.312965E-19 0.000000E+00 9.00000E+100
98 traj.phase0.collocation_constraint.defects:x e 0.000000E+00 -1.387779E-18 0.000000E+00 9.00000E+100
99 traj.phase0.collocation_constraint.defects:x e 0.000000E+00 0.000000E+00 0.000000E+00 9.00000E+100
100 traj.phase0.collocation_constraint.defects:x e 0.000000E+00 1.387779E-18 0.000000E+00 9.00000E+100
101 traj.phase0.collocation_constraint.defects:x e 0.000000E+00 2.775558E-18 0.000000E+00 9.00000E+100
102 traj.phase0.collocation_constraint.defects:x e 0.000000E+00 -9.251859E-19 0.000000E+00 9.00000E+100
103 traj.phase0.collocation_constraint.defects:x e 0.000000E+00 4.625929E-19 0.000000E+00 9.00000E+100
104 traj.phase0.collocation_constraint.defects:x e 0.000000E+00 4.625929E-18 0.000000E+00 9.00000E+100
105 traj.phase0.collocation_constraint.defects:x e 0.000000E+00 -2.312965E-18 0.000000E+00 9.00000E+100
106 traj.phase0.collocation_constraint.defects:x e 0.000000E+00 4.625929E-18 0.000000E+00 9.00000E+100
107 traj.phase0.collocation_constraint.defects:x e 0.000000E+00 -1.850372E-18 0.000000E+00 9.00000E+100
108 traj.phase0.collocation_constraint.defects:x e 0.000000E+00 4.163336E-18 0.000000E+00 9.00000E+100
109 traj.phase0.collocation_constraint.defects:x e 0.000000E+00 -4.625929E-19 0.000000E+00 9.00000E+100
110 traj.phase0.collocation_constraint.defects:x e 0.000000E+00 7.401487E-18 0.000000E+00 9.00000E+100
111 traj.phase0.collocation_constraint.defects:x e 0.000000E+00 -4.625929E-18 0.000000E+00 9.00000E+100
112 traj.phase0.collocation_constraint.defects:x e 0.000000E+00 -3.700743E-18 0.000000E+00 9.00000E+100
113 traj.phase0.collocation_constraint.defects:x e 0.000000E+00 1.295260E-17 0.000000E+00 9.00000E+100
114 traj.phase0.collocation_constraint.defects:x e 0.000000E+00 -1.387779E-17 0.000000E+00 9.00000E+100
115 traj.phase0.collocation_constraint.defects:x e 0.000000E+00 1.665335E-17 0.000000E+00 9.00000E+100
116 traj.phase0.collocation_constraint.defects:x e 0.000000E+00 -9.251859E-19 0.000000E+00 9.00000E+100
117 traj.phase0.collocation_constraint.defects:x e 0.000000E+00 -1.110223E-17 0.000000E+00 9.00000E+100
118 traj.phase0.collocation_constraint.defects:x e 0.000000E+00 -1.850372E-18 0.000000E+00 9.00000E+100
119 traj.phase0.collocation_constraint.defects:x e 0.000000E+00 4.625929E-18 0.000000E+00 9.00000E+100
120 traj.phase0.collocation_constraint.defects:x e 0.000000E+00 -5.551115E-18 0.000000E+00 9.00000E+100
121 traj.phase0.collocation_constraint.defects:x e 0.000000E+00 1.017704E-17 0.000000E+00 9.00000E+100
122 traj.phase0.collocation_constraint.defects:x e 0.000000E+00 3.238150E-17 0.000000E+00 9.00000E+100
123 traj.phase0.collocation_constraint.defects:x e 0.000000E+00 -1.757853E-17 0.000000E+00 9.00000E+100
124 traj.phase0.collocation_constraint.defects:x e 0.000000E+00 -6.476301E-18 0.000000E+00 9.00000E+100
125 traj.phase0.collocation_constraint.defects:x e 0.000000E+00 2.312965E-17 0.000000E+00 9.00000E+100
126 traj.phase0.collocation_constraint.defects:x e 0.000000E+00 -5.551115E-18 0.000000E+00 9.00000E+100
127 traj.phase0.collocation_constraint.defects:x e 0.000000E+00 1.665335E-17 0.000000E+00 9.00000E+100
128 traj.phase0.collocation_constraint.defects:x e 0.000000E+00 3.608225E-17 0.000000E+00 9.00000E+100
129 traj.phase0.collocation_constraint.defects:x e 0.000000E+00 5.551115E-17 0.000000E+00 9.00000E+100
130 traj.phase0.collocation_constraint.defects:x e 0.000000E+00 -6.476301E-18 0.000000E+00 9.00000E+100
131 traj.phase0.collocation_constraint.defects:x e 0.000000E+00 1.295260E-17 0.000000E+00 9.00000E+100
132 traj.phase0.collocation_constraint.defects:x e 0.000000E+00 -1.600572E-16 0.000000E+00 9.00000E+100
133 traj.phase0.collocation_constraint.defects:x e 0.000000E+00 2.775558E-18 0.000000E+00 9.00000E+100
134 traj.phase0.collocation_constraint.defects:x e 0.000000E+00 -6.476301E-17 0.000000E+00 9.00000E+100
135 traj.phase0.collocation_constraint.defects:x e 0.000000E+00 9.159340E-17 0.000000E+00 9.00000E+100
136 traj.phase0.collocation_constraint.defects:x e 0.000000E+00 -2.405483E-17 0.000000E+00 9.00000E+100
137 traj.phase0.collocation_constraint.defects:x e 0.000000E+00 3.700743E-17 0.000000E+00 9.00000E+100
138 traj.phase0.collocation_constraint.defects:x e 0.000000E+00 -7.308968E-17 0.000000E+00 9.00000E+100
139 traj.phase0.collocation_constraint.defects:x e 0.000000E+00 3.793262E-17 0.000000E+00 9.00000E+100
140 traj.phase0.collocation_constraint.defects:x e 0.000000E+00 5.551115E-17 0.000000E+00 9.00000E+100
141 traj.phase0.collocation_constraint.defects:x e 0.000000E+00 8.326673E-18 0.000000E+00 9.00000E+100
142 traj.phase0.collocation_constraint.defects:x e 0.000000E+00 -4.348374E-17 0.000000E+00 9.00000E+100
143 traj.phase0.collocation_constraint.defects:x e 0.000000E+00 -2.868076E-17 0.000000E+00 9.00000E+100
144 traj.phase0.collocation_constraint.defects:x e 0.000000E+00 -7.308968E-17 0.000000E+00 9.00000E+100
145 traj.phase0.collocation_constraint.defects:x e 0.000000E+00 -1.850372E-17 0.000000E+00 9.00000E+100
146 traj.phase0.collocation_constraint.defects:x e 0.000000E+00 -2.775558E-18 0.000000E+00 9.00000E+100
147 traj.phase0.collocation_constraint.defects:x e 0.000000E+00 1.193490E-16 0.000000E+00 9.00000E+100
148 traj.phase0.collocation_constraint.defects:x e 0.000000E+00 -1.202742E-17 0.000000E+00 9.00000E+100
149 traj.phase0.collocation_constraint.defects:x e 0.000000E+00 -2.498002E-17 0.000000E+00 9.00000E+100
150 traj.phase0.collocation_constraint.defects:x e 0.000000E+00 -7.123931E-17 0.000000E+00 9.00000E+100
151 traj.phase0.collocation_constraint.defects:x e 0.000000E+00 1.850372E-17 0.000000E+00 9.00000E+100
152 traj.phase0.collocation_constraint.defects:x e 0.000000E+00 5.736152E-17 0.000000E+00 9.00000E+100
153 traj.phase0.collocation_constraint.defects:x e 0.000000E+00 1.230497E-16 0.000000E+00 9.00000E+100
154 traj.phase0.collocation_constraint.defects:x e 0.000000E+00 1.665335E-17 0.000000E+00 9.00000E+100
155 traj.phase0.collocation_constraint.defects:x e 0.000000E+00 -2.960595E-17 0.000000E+00 9.00000E+100
156 traj.phase0.collocation_constraint.defects:x e 0.000000E+00 -7.216450E-17 0.000000E+00 9.00000E+100
157 traj.phase0.collocation_constraint.defects:x e 0.000000E+00 1.110223E-17 0.000000E+00 9.00000E+100
158 traj.phase0.collocation_constraint.defects:x e 0.000000E+00 -6.013708E-17 0.000000E+00 9.00000E+100
159 traj.phase0.collocation_constraint.defects:x e 0.000000E+00 -6.291264E-17 0.000000E+00 9.00000E+100
160 traj.phase0.collocation_constraint.defects:x e 0.000000E+00 2.127927E-17 0.000000E+00 9.00000E+100
161 traj.phase0.collocation_constraint.defects:x e 0.000000E+00 -5.273559E-17 0.000000E+00 9.00000E+100
162 traj.phase0.collocation_constraint.defects:x e 0.000000E+00 -3.145632E-17 0.000000E+00 9.00000E+100
163 traj.phase0.collocation_constraint.defects:x e 0.000000E+00 -1.387779E-18 0.000000E+00 9.00000E+100
164 traj.phase0.collocation_constraint.defects:x e 0.000000E+00 -1.665335E-17 0.000000E+00 9.00000E+100
165 traj.phase0.collocation_constraint.defects:x e 0.000000E+00 4.949744E-17 0.000000E+00 9.00000E+100
166 traj.phase0.collocation_constraint.defects:x e 0.000000E+00 -3.053113E-17 0.000000E+00 9.00000E+100
167 traj.phase0.collocation_constraint.defects:x e 0.000000E+00 -4.857226E-17 0.000000E+00 9.00000E+100
168 traj.phase0.collocation_constraint.defects:x e 0.000000E+00 1.757853E-17 0.000000E+00 9.00000E+100
169 traj.phase0.collocation_constraint.defects:x e 0.000000E+00 4.834096E-17 0.000000E+00 9.00000E+100
170 traj.phase0.collocation_constraint.defects:x e 0.000000E+00 -1.924387E-16 0.000000E+00 9.00000E+100
171 traj.phase0.collocation_constraint.defects:x e 0.000000E+00 -7.077672E-17 0.000000E+00 9.00000E+100
172 traj.phase0.collocation_constraint.defects:x e 0.000000E+00 -1.341519E-17 0.000000E+00 9.00000E+100
173 traj.phase0.collocation_constraint.defects:x e 0.000000E+00 5.273559E-17 0.000000E+00 9.00000E+100
174 traj.phase0.collocation_constraint.defects:x e 0.000000E+00 6.522560E-17 0.000000E+00 9.00000E+100
175 traj.phase0.collocation_constraint.defects:x e 0.000000E+00 -4.371503E-17 0.000000E+00 9.00000E+100
176 traj.phase0.collocation_constraint.defects:x e 0.000000E+00 -3.376928E-17 0.000000E+00 9.00000E+100
177 traj.phase0.collocation_constraint.defects:x e 0.000000E+00 -2.289835E-17 0.000000E+00 9.00000E+100
178 traj.phase0.collocation_constraint.defects:x e 0.000000E+00 3.585095E-17 0.000000E+00 9.00000E+100
179 traj.phase0.collocation_constraint.defects:x e 0.000000E+00 -1.186985E-16 0.000000E+00 9.00000E+100
180 traj.phase0.continuity_comp.defect_states:v e 0.000000E+00 0.000000E+00 0.000000E+00 9.00000E+100
181 traj.phase0.continuity_comp.defect_states:v e 0.000000E+00 0.000000E+00 0.000000E+00 9.00000E+100
182 traj.phase0.continuity_comp.defect_states:v e 0.000000E+00 0.000000E+00 0.000000E+00 9.00000E+100
183 traj.phase0.continuity_comp.defect_states:v e 0.000000E+00 0.000000E+00 0.000000E+00 9.00000E+100
184 traj.phase0.continuity_comp.defect_states:v e 0.000000E+00 0.000000E+00 0.000000E+00 9.00000E+100
185 traj.phase0.continuity_comp.defect_states:v e 0.000000E+00 0.000000E+00 0.000000E+00 9.00000E+100
186 traj.phase0.continuity_comp.defect_states:v e 0.000000E+00 0.000000E+00 0.000000E+00 9.00000E+100
187 traj.phase0.continuity_comp.defect_states:v e 0.000000E+00 0.000000E+00 0.000000E+00 9.00000E+100
188 traj.phase0.continuity_comp.defect_states:v e 0.000000E+00 0.000000E+00 0.000000E+00 9.00000E+100
189 traj.phase0.continuity_comp.defect_states:v e 0.000000E+00 0.000000E+00 0.000000E+00 9.00000E+100
190 traj.phase0.continuity_comp.defect_states:v e 0.000000E+00 0.000000E+00 0.000000E+00 9.00000E+100
191 traj.phase0.continuity_comp.defect_states:v e 0.000000E+00 0.000000E+00 0.000000E+00 9.00000E+100
192 traj.phase0.continuity_comp.defect_states:v e 0.000000E+00 0.000000E+00 0.000000E+00 9.00000E+100
193 traj.phase0.continuity_comp.defect_states:v e 0.000000E+00 0.000000E+00 0.000000E+00 9.00000E+100
194 traj.phase0.continuity_comp.defect_states:v e 0.000000E+00 -5.551115E-17 0.000000E+00 9.00000E+100
195 traj.phase0.continuity_comp.defect_states:v e 0.000000E+00 0.000000E+00 0.000000E+00 9.00000E+100
196 traj.phase0.continuity_comp.defect_states:v e 0.000000E+00 0.000000E+00 0.000000E+00 9.00000E+100
197 traj.phase0.continuity_comp.defect_states:v e 0.000000E+00 0.000000E+00 0.000000E+00 9.00000E+100
198 traj.phase0.continuity_comp.defect_states:v e 0.000000E+00 0.000000E+00 0.000000E+00 9.00000E+100
199 traj.phase0.continuity_comp.defect_states:v e 0.000000E+00 0.000000E+00 0.000000E+00 9.00000E+100
200 traj.phase0.continuity_comp.defect_states:v e 0.000000E+00 0.000000E+00 0.000000E+00 9.00000E+100
201 traj.phase0.continuity_comp.defect_states:v e 0.000000E+00 0.000000E+00 0.000000E+00 9.00000E+100
202 traj.phase0.continuity_comp.defect_states:v e 0.000000E+00 0.000000E+00 0.000000E+00 9.00000E+100
203 traj.phase0.continuity_comp.defect_states:v e 0.000000E+00 0.000000E+00 0.000000E+00 9.00000E+100
204 traj.phase0.continuity_comp.defect_states:v e 0.000000E+00 0.000000E+00 0.000000E+00 9.00000E+100
205 traj.phase0.continuity_comp.defect_states:v e 0.000000E+00 0.000000E+00 0.000000E+00 9.00000E+100
206 traj.phase0.continuity_comp.defect_states:v e 0.000000E+00 0.000000E+00 0.000000E+00 9.00000E+100
207 traj.phase0.continuity_comp.defect_states:v e 0.000000E+00 0.000000E+00 0.000000E+00 9.00000E+100
208 traj.phase0.continuity_comp.defect_states:v e 0.000000E+00 0.000000E+00 0.000000E+00 9.00000E+100
209 traj.phase0.continuity_comp.defect_states:x e 0.000000E+00 0.000000E+00 0.000000E+00 9.00000E+100
210 traj.phase0.continuity_comp.defect_states:x e 0.000000E+00 -4.336809E-19 0.000000E+00 9.00000E+100
211 traj.phase0.continuity_comp.defect_states:x e 0.000000E+00 0.000000E+00 0.000000E+00 9.00000E+100
212 traj.phase0.continuity_comp.defect_states:x e 0.000000E+00 0.000000E+00 0.000000E+00 9.00000E+100
213 traj.phase0.continuity_comp.defect_states:x e 0.000000E+00 1.734723E-18 0.000000E+00 9.00000E+100
214 traj.phase0.continuity_comp.defect_states:x e 0.000000E+00 0.000000E+00 0.000000E+00 9.00000E+100
215 traj.phase0.continuity_comp.defect_states:x e 0.000000E+00 -3.469447E-18 0.000000E+00 9.00000E+100
216 traj.phase0.continuity_comp.defect_states:x e 0.000000E+00 0.000000E+00 0.000000E+00 9.00000E+100
217 traj.phase0.continuity_comp.defect_states:x e 0.000000E+00 0.000000E+00 0.000000E+00 9.00000E+100
218 traj.phase0.continuity_comp.defect_states:x e 0.000000E+00 0.000000E+00 0.000000E+00 9.00000E+100
219 traj.phase0.continuity_comp.defect_states:x e 0.000000E+00 0.000000E+00 0.000000E+00 9.00000E+100
220 traj.phase0.continuity_comp.defect_states:x e 0.000000E+00 0.000000E+00 0.000000E+00 9.00000E+100
221 traj.phase0.continuity_comp.defect_states:x e 0.000000E+00 0.000000E+00 0.000000E+00 9.00000E+100
222 traj.phase0.continuity_comp.defect_states:x e 0.000000E+00 0.000000E+00 0.000000E+00 9.00000E+100
223 traj.phase0.continuity_comp.defect_states:x e 0.000000E+00 0.000000E+00 0.000000E+00 9.00000E+100
224 traj.phase0.continuity_comp.defect_states:x e 0.000000E+00 0.000000E+00 0.000000E+00 9.00000E+100
225 traj.phase0.continuity_comp.defect_states:x e 0.000000E+00 0.000000E+00 0.000000E+00 9.00000E+100
226 traj.phase0.continuity_comp.defect_states:x e 0.000000E+00 0.000000E+00 0.000000E+00 9.00000E+100
227 traj.phase0.continuity_comp.defect_states:x e 0.000000E+00 0.000000E+00 0.000000E+00 9.00000E+100
228 traj.phase0.continuity_comp.defect_states:x e 0.000000E+00 0.000000E+00 0.000000E+00 9.00000E+100
229 traj.phase0.continuity_comp.defect_states:x e 0.000000E+00 0.000000E+00 0.000000E+00 9.00000E+100
230 traj.phase0.continuity_comp.defect_states:x e 0.000000E+00 0.000000E+00 0.000000E+00 9.00000E+100
231 traj.phase0.continuity_comp.defect_states:x e 0.000000E+00 0.000000E+00 0.000000E+00 9.00000E+100
232 traj.phase0.continuity_comp.defect_states:x e 0.000000E+00 0.000000E+00 0.000000E+00 9.00000E+100
233 traj.phase0.continuity_comp.defect_states:x e 0.000000E+00 0.000000E+00 0.000000E+00 9.00000E+100
234 traj.phase0.continuity_comp.defect_states:x e 0.000000E+00 0.000000E+00 0.000000E+00 9.00000E+100
235 traj.phase0.continuity_comp.defect_states:x e 0.000000E+00 0.000000E+00 0.000000E+00 9.00000E+100
236 traj.phase0.continuity_comp.defect_states:x e 0.000000E+00 0.000000E+00 0.000000E+00 9.00000E+100
237 traj.phase0.continuity_comp.defect_states:x e 0.000000E+00 0.000000E+00 0.000000E+00 9.00000E+100
Exit Status
Inform Description
0 Optimization terminated successfully.
--------------------------------------------------------------------------------
Simulating trajectory traj
Done simulating trajectory traj
Problem: problem
Driver: pyOptSparseDriver
success : True
iterations : 21
runtime : 2.9261E+00 s
model_evals : 21
model_time : 1.0801E-02 s
deriv_evals : 20
deriv_time : 8.6159E-02 s
exit_status : SUCCESS
sol = om.CaseReader(p.get_outputs_dir() / 'dymos_solution.db').get_case('final')
sim = om.CaseReader(traj.sim_prob.get_outputs_dir() / 'dymos_simulation.db').get_case('final')
plot_results([('traj.phase0.timeseries.time', 'traj.phase0.timeseries.x',
'time (s)', 'x $(m)$'),
('traj.phase0.timeseries.time', 'traj.phase0.timeseries.v',
'time (s)', 'v $(m/s)$'),
('traj.phase0.timeseries.time', 'traj.phase0.timeseries.u',
'time (s)', 'u $(m/s^2)$')],
title='Double Integrator Solution\nRadau Pseudospectral Method',
p_sol=sol, p_sim=sim)
plt.show()
